Назад | Содержание | Вперёд
Существует много различных подходов к проблеме поиска решающего пути для задач, сформулированных в терминах пространства состояний. Основные две стратегии поиска - это поиск в глубину и поиск в ширину. В настоящем разделе мы реализуем первую из них.
Мы начнем разработку алгоритма и его вариантов со следующей простой идеи:
Для того, чтобы найти решающий путь Реш из заданной вершины В в некоторую целевую вершину, необходимо:

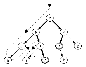
Рис. 11. 4. Пример
простого пространства состояний: а
- стартовая
вершина, f и
j - целевые вершины. Порядок, в
которой происходит
проход по вершинам пространства состояний
при поиске в глубину:
а, b, d, h, e, i, j.
Найдено решение [a, b, e, j]. После возврата
обнаружено другое решение: [а, с, f].
На Пролог это правило транслируется так:
решить( В, [В] ) :-
цель( В).
решить( В, [В | Реш1] )
:-
после( В, В1 ),
решить( В1, Реш1).
Эта программа и есть реализация поиска в глубину. Мы говорим "в глубину", имея в виду тот порядок, в котором рассматриваются альтернативы в пространстве состояний. Всегда, когда алгоритму поиска в глубину надлежит выбрать из нескольких вершин ту, в которую следует перейти для продолжения поиска, он предпочитает самую "глубокую" из них. Самая глубокая вершина - это вершина, расположенная дальше других от стартовой вершины. На рис. 11.4 мы видим на примере, в каком порядке алгоритм проходит по вершинам. Этот порядок в точности соответствует результату трассировки процесса вычислений в пролог-системе при ответе на вопрос
?- решить( а, Реш).
Поиск в глубину наиболее адекватен рекурсивному стилю программирования, принятому в Прологе. Причина этого состоит в том, что, обрабатывая цели, пролог-система сама просматривает альтернативы именно в глубину.
Поиск в глубину прост, его легко программировать и он в некоторых случаях хорошо работает. Программа для решения задачи о восьми ферзях (см. гл. 4) фактически была примером поиска в глубину. Для того, чтобы можно было применить к этой задаче описанную выше процедуру решить, необходимо сформулировать задачу в терминах пространства состояний. Это можно сделать так:
Позицию на доске будем представлять как список Y-координат поставленных ферзей. Получаем программу:
после( Ферзи, [Ферзь
| Ферзи] ) :-
принадлежит( Ферзь, [1, 2, 3, 4, 5, 6, 7, 8] ),
% Поместить ферзя на любую вертикальную линию
небьет( Ферзь, Ферзи).
цель( [ _, _, _, _, _, _, _, _ ]
)
% Позиция с восемью ферзями
Отношение небьет означает, что Ферзь не может поразить ни одного ферзя из списка Ферзи. Эту процедуру можно легко запрограммировать так же, как это сделано в гл. 4. Ответ на вопрос
?- решить( [ ], Решение)
будет выглядеть как список позиций с постепенно увеличивающимся количеством поставленных ферзей. Список завершается "безопасной" конфигурацией из восьми ферзей. Механизм возвратов позволит получить и другие решения задачи.
Поиск в глубину часто работает хорошо, как в рассмотренном примере, однако наша простая процедура решить может попасть в затруднительное положение, причем многими способами. Случится ли это или нет - зависит от структуры пространства состояний. Для того, чтобы затруднить работу процедуры решить в примере рис. 11.4, достаточно внести в задачу совсем небольшое изменение: добавить дугу, ведущую из h в d, чтобы получился цикл (рис. 11.5). В этом случае поиск будет выглядеть так: начиная с вершины а, спускаемся вплоть до h, придерживаясь самой левой ветви графа. На этот раз, в отличие от рис. 11.4, у вершины h будет преемник d. Поэтому произойдет не возврат из h, а переход к d. Затем мы найдем преемника вершины d, т.е. вершину h, и т.д., в результате программа зациклится между h и d.

Рис. 11. 5. Начинаясь в а,
поиск вглубину заканчивается
бесконечным циклом между d и h:
a, b, d, h, d, h, d
... .
Очевидное усовершенствование нашей программы поиска в глубину - добавление к ней механизма обнаружения циклов. Ни одну из вершин, уже содержащихся в пути, построенном из стартовой вершины в текущую вершину, не следует вторично рассматривать в качестве возможной альтернативы продолжения поиска. Это правило можно сформулировать в виде отношения
вглубину( Путь, Верш, Решение)
Как видно из рис. 11.6, Верш - это состояние, из которого необходимо найти путь до цели; Путь - путь (список вершин) между стартовой вершиной и Верш; Решение - Путь, продолженный до целевой вершины.

Рис. 11. 6. Отношение вглубину( Путь, В, Решение).
Для облегчения программирования вершины в списках, представляющих пути, будут расставляться в обратном порядке. Аргумент Путь нужен для того,
(1) чтобы не рассматривать тех преемников вершины Верш, которые уже встречались раньше (обнаружение циклов);
(2) чтобы облегчить построение решающего пути Решение. Соответствующая программа поиска в глубину показана на рис. 11.7.
решить( Верш,
Решение) :-
вглубину( [ ], Верш, Решение).
вглубину( Путь,
Верш, [Верш | Путь] ) :-
цель( Верш).
вглубину( Путь,
Верш, Реш) :-
после( Верш, Верш1),
not принадлежит( Верш1, Путь),
% Цикл ?
вглубину( [Верш | Путь], Верш1, Реш).
Рис. 11. 7. Программа поиска в глубину без зацикливания.
Теперь наметим один вариант этой программы. Аргументы Путь и Верш процедуры вглубину можно объединить в один список [Верш | Путь]. Тогда, вместо вершины-кандидата Верш, претендующей на то, что она находится на пути, ведущем к цели, мы будем иметь путь-кандидат П = [Верш | Путь], который претендует на то, что его можно продолжить вплоть до целевой вершины. Программирование соответствующего предиката
вглубину( П, Решение)
оставим читателю в качестве упражнения.
Наша процедура поиска в глубину, снабженная механизмом обнаружения циклов, будет успешно находить решающие пути в пространствах состояний, подобных показанному на рис. 11.5. Существуют, однако, такие пространства состоянии, в которых наша процедура не дойдет до цели. Дело в том, что многие пространства состояний бесконечны. В таком пространстве алгоритм поиска в глубину может "потерять" цель, двигаясь вдоль бесконечной ветви графа. Программа будет бесконечно долго обследовать эту бесконечную область пространства, так и не приблизившись к цели. Пространство состояний задачи о восьми ферзях, определенное так, как это сделано в настоящем разделе, на первый взгляд содержит ловушку именно такого рода. Но оказывается, что оно все-таки конечно, поскольку Y-координаты выбираются из ограниченного множества, и поэтому на доску можно поставить "безопасным образом" не более восьми ферзей.
вглубину2( Верш,
[Верш], _ ) :-
цель( Верш).
вглубину2( Верш,
[Верш | Реш], МаксГлуб) :-
МаксГлуб > 0,
после( Верш, Верш1),
Maкс1 is МаксГлуб - 1,
вглубину2( Верш1, Реш, Maкс1).
Рис. 11. 8. Программа поиска в глубину с ограничением по глубине.
Для того, чтобы предотвратить бесцельное блуждание по бесконечным ветвям, мы можем добавить
в базовую процедуру поиска в глубину еще одно усовершенствование, а именно, ввести ограничение на глубину поиска. Процедура поиска в глубину будет тогда иметь следующие аргументы:вглубину2( Верш, Решение, МаксГлуб)
Не разрешается вести поиск на глубине большей, чем МаксГлуб. Программная реализация этого ограничения сводится к уменьшению на единицу величины предела глубины при каждом рекурсивном обращений к вглубину2 и к проверке, что этот предел не стал отрицательным. В результате получаем программу, показанную на рис. 11.8.
11. 1. Напишите процедуру поиска в глубину (с обнаружением циклов)
вглубину1( ПутьКандидат, Решение)
отыскивающую решающий путь Решение как продолжение пути ПутьКандидат. Оба пути представляйте списками вершин, расположенных в обратном порядке так, что целевая вершина окажется в голове списка Решение.
11. 2. Напишите процедуру поиска в глубину, сочетающую в себе обнаружение циклов с ограничением глубины, используя рис. 11.7 и 11.8.
11. 3. Проведите эксперимент по применению программы поиска в глубину к задаче планирования в "мире кубиков" (рис. 11.1).
11. 4. Напишите процедуру
отобр( Ситуация)
для отображения состояния задачи "перестановки кубиков". Пусть Ситуация - это список столбиков, а столбик, в свою очередь, - список кубиков. Цель
отобр( [ [a], [e, d], [с, b] ] )
должна отпечатать соответствующую ситуацию, например так:
е с
a d
b
================
Назад | Содержание | Вперёд